應用物理系動量馳豫簡單模型下全息熱化測量研究取得進展
近期,伟德国际1946官方网應用物理系李永壯老師在動量馳豫簡單模型下全息熱化的測量研究方面取得進展,相關論文成果發表在老牌物理學期刊Nuclear Physics B 956 (2020) 115043(物理學2區).
AdS/CFT對偶理論為強耦合場和經典引力理論的動力學之間的映射提供了非常深刻的見解,也為量子場論和引力理論的統一提供了一條可行的道路,因此近十年了其得到了非常迅速的發展。
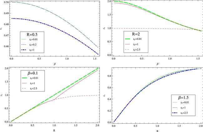
文中利用全息對偶理論研究了四維愛因斯坦-麥克斯韋-軸子引力理論中的全息熱化過程。這種引力理論一般認為是帶有動量馳豫邊界共形場的一種簡單對偶引力。簡化起見,在邊界場上選取一個圓形區域,并利用該圓形區域所對偶的等時兩點函數和糾纏熵探測了熱化的過程。熱化的過程可以用體空間中一個無厚度有質量的球殼“下落”過程來代表。并詳細分析了動量馳豫在熱化過程中的效應,發現動量馳豫會引起更長的熱化時間。這和體空間擾動準正則頻率偏離零模式的特性一緻。

圖1:(上)相同圓半徑(R=0.5,2)下超曲面頂點z*和耦合常數在不同時間點的關系。(下)相同耦合常數下圓半徑和超曲面頂點在不同時間點的關系。其中紅色實線彎折點代表了球殼所在位置。
考慮到體空間擾動的衰退确實全息地描述了對偶場理論中趨向熱平衡的過程,因此我們的結論進一步驗證了早期文獻中的結論,同時也為如何利用場論的觀點解釋相關特性提供了一定的支持。
論文相關工作受到伟德国际1946官方网博士科研啟動經費資助。
論文鍊接:https://doi.org/10.1016/j.nuclphysb.2020.115043